Shane Malone fra Liverpool John Moores University med flere har nylig studert om maksimal muskelstyrke, hurtighet og repetert sprint reduserer risikoen for skader blant mannlige hurlingspillere på seniornivå. Studien viser at spillere som er sterkere, raskere eller har bedre repetert sprintegenskaper har vesentlig lavere risiko for å bli skadet enn svakere og/eller tregere utøvere. Selv om dette ikke var en studie av håndballspillere så er det mange nok likheter mellom idrettene til at den bidrar med interessant kunnskap for treningsprosessen.
Tidligere forskning har vist en tydelig sammenheng mellom trenings- og kampbelastning og skaderisiko i flere idretter. Flere studier har vist spillere med veldig lav eller veldig høy trenings- og kampbelastning har høy risiko for å bli skadet, og at spesielt raske ukentlige økninger i trenings- og kampbelastning øker den påfølgende skaderisikoen betraktelig. Samtidig er det lite kunnskap om hvordan faktorer som styrke, hurtighet og utholdenhet «beskytter» eller er med på å redusere risikoen for å bli skadet.
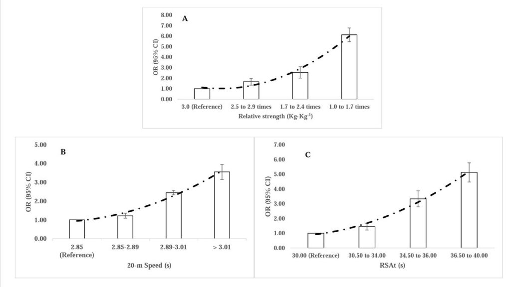
Derfor fulgte forskerne et lag med 40 irske mannlige hurlingspillere over to sesonger. Hurling er den irske nasjonalsporten og er et intensivt lagballspill med tøff kroppskontakt som spilles utendørs på noe som ligner en stor fotballbane. Spillerne i studien var voksne, spilte på amatørnivå og trente 2-3 økter med hurling og 1-2 økter med styrketrening i uken. Spillerne testet maksimal muskelstyrke (3RM trap bar markløft), maksimal løpshurtighet på 5 m, 10 m og 20 m, og repetert sprint (6 x 35 m shuttle, 10 sek pause). Forskerne kalkulerte deretter spillernes relative muskelstyrke og sammenlignet spillere som hadde samme trenings- og konkurransebelastning, men ulik muskelstyrke, hurtighet og repeterte sprintegenskaper med hverandre.

Resultatene viste at spillerne som var relativt sterkere, hurtigere eller hadde bedre repeterte sprintegenskaper hadde mindre risiko for å bli skadet sammenlignet med spillere som hadde samme trenings- og kampbelastning. De hadde også bedre forutsetninger for å tåle ukentlige økninger i trenings- og kampbelastning.
Som i tidligere studier hadde spillere med moderat trenings- og kampbelastning mindre risiko for å bli skadet både i og utenfor konkurransesesongen, og store økninger i trenings- og kampbelastning økte risikoen for å bli skadet betraktelig for alle spillere. Ukentlige økninger i trenings- og kampbelastningen kunne forklare 60% av variasjonen i skaderisiko blant spillerne gjennom studieperioden.
Hva kan vi ta med oss?
Studien er viktig fordi den viser hvordan trening av bestemte fysiske egenskaper som for eksempel maksimal muskelstyrke i beina kan være med på å redusere skaderisikoen i skadeutsatte lagidretter. Det er rimelig å anta at vi vil kunne observere noe lignende i håndball. I motsetning til tidligere studier som har fokusert på sammenhengen mellom isolert muskelfunksjon og bestemte idrettsskader, så viser denne studien hvordan mer globale mål på muskelstyrke i funksjonelle bevegelser er assosiert med lavere skaderisiko. Funnene har derfor ekstra stor praktisk relevans og potensielt større overføring til den daglige treningen til utøvere.